中学复数的运算公式
复数的四则运算公式:
加减法运算:(a+bi)±(c+di)=(a±c)+(b±d)i乘法运算:(a+bi)(c+di)=(ac-bd)+(bc+ad)i除法运算:(c+di)(x+yi)=(a+bi)

了解复数的运算公式之前,应该先明白复数的定义,在定义的基础上理解、运用复数的运算公式。今天小柒老师给大家详细地讲解一下中学复数的运算公式。
一、复数的定义
复数是形如a+bi的数。式中a,b为实数,i是一个满足i=-1的数,因为任何实数的平方不等于-1,所以i不是实数,而是实数以外的新的数。在复数a+bi中,a称为复数的实部,b称为复数的虚部,i称为虚数单位。当虚部等于零时,这个复数就是实数;当虚部不等于零时,这个复数称为虚数,虚数的实部如果等于零,则称为纯虚数。由上可知,复数集包含了实数集,因而是实数集的扩张。复数常用形式z=a+bi叫做代数式。

二、复数的四则运算公式
加减法运算 设z1=a+bi,z2=c+di是任意两个复数,它的实部是原来两个复数实部的和,它的虚部是原来两个虚部的和:(a+bi)±(c+di)=(a±c)+(b±d)i。乘法运算 设z1=a+bi,z2=c+di是任意两个复数,则:(a+bi)(c+di)=(ac-bd)+(bc+ad)i。其实就是把两个复数相乘,类似两个多项式相乘,结果中i=-1,把实部与虚部分别合并。两个复数的积仍然是一个复数。除法运算 复数除法定义:满足(c+di)(x+yi)=(a+bi)的复数x+yi(x,y∈R)叫复数a+bi除以复数c+di的商。

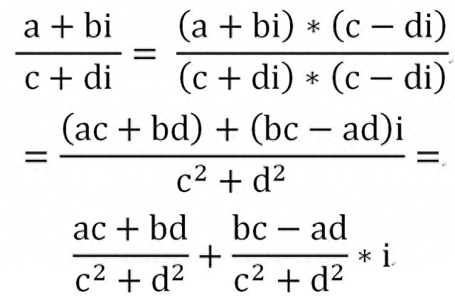
【重点记忆】运算方法:可以把除法换算成乘法做,将分子分母同时乘上分母的共轭复数,再用乘法运算。

【例题】求(a+bi)/(c+di)
我们设结果为x+yi
只需解方程(a+bi)=(c+di)(x+yi)即可
也就是方程组cx-dy=a cy+dx=b
解得x=(ac+ba)/(c+d) y=(bc-ad)/(c+d)
小结
总的来说,复数的基本运算很简单,把它当做是关于i的多项式进行计算即可。记得 i=-1
标签:
89
写给学校的三行情书简短 你来了我的病儿去了,你去了我的病儿就来。 你来了忧愁挂在云霄外,你去了相思病依然在。 讲个明白或去或来,去了不来倒把人想坏。 我们来自五湖四海,...
53
霍金再次预言,300年后我们将永生不死并拥有太空母舰 霍金,现代最伟大的物理学家,20世纪享有国际盛誉的伟人之一。 近日,霍金对未来300年进行了预言。 霍金预言称,300年后人类...
98
人如何高效记忆,怎么更快的掌握知识点 生活中有很多方式可以提高人的记忆力,只要找到合适的方法,就能更好的快速记住东西,通常人在睡醒后的早晨记忆力越强,这也是学校让学...
125
头疼怎么办快速缓解头疼6个小妙招(4个办法帮助你缓解头疼) 头痛这个问题已经越来越常见了,并且有年轻化的趋势。现在很多人年纪轻轻就患有头痛。一疼起来就容易让人烦躁并且...
132
盆栽牡丹花的养殖方法和注意事项 养殖方法:盆土,养殖盆栽牡丹花时,可将园土、腐叶土、细河沙混合制作成栽培的基质;光温,在盆栽牡丹花生长期间,需将环境温度控制在15~...
156
米兰花冬季怎么养 提高抗寒能力 米兰花自身抗寒能力较差,改变环境能都提升其抗寒能力呢?答案是:可以。在入秋之后,就要停止施肥,尤其是氮肥,当然可以适当的施点磷钾肥,...
135
獾猪是几级保护动物(獾猪的分布范围) 獾猪是国家二级保护动物,属于濒危物种。主要分布在亚洲中部、北部和欧洲,在我国华东、华南、西南、华北及陕西、甘肃和青海等地区也有分...
168
仙人掌真的能吸收辐射吗 一、何谓辐射 太阳光产生的辐射和生活中的电器产生的辐射是不同的,太阳发出的是辐射能,而电器产生的是一种辐射线,这种能量波是以直线的形式前进的...
144
和老公吵架冷战怎么办(和老公一吵架就冷战该怎么办) 感谢悟空邀请,书生为你解答。 在生活当中,夫妻之间磕磕碰碰是在所难免的,能做到一辈子不吵架的夫妻基本上没有几对。...
173
女生地摊套玩具熊拆开发现摄像头 在生活中该如何防范类似的事情发生? 在生活中,应该保持警觉和谨慎,加强对于隐私安全和网络安全的保护,遵守法律法规,避免被他人利用或者...
114
茉莉的养殖方法和注意事项 养殖茉莉花时要注意半月追肥补充养分并夏冬停肥,还要为其提供直射阳光避免夏季正午强光晒伤。将其生长温度控制在25~35℃之间,多浇水保持土壤湿润...
107
简单百宝箱怎么用,天龙八部简单百宝箱怎么定点打怪? 本文目录 1.天龙八部简单百宝箱怎么定点打怪?2.简单百宝箱多开怎么用3.天龙八部简单百宝箱怎么多开4.天龙八部简单百宝箱怎么多...
69
月入2万的10个小生意加盟 月入2万的10个小生意赚钱 月入2万的10个小生意加盟,月入2万的10个小生意赚钱?相信很多朋友都有过创业的想法,想自己做点小生意,能够月入2万可以说是大...
82
什么样的体质容易怀孕(什么体质的女生容易怀孕) 哪些体质的女性容易受孕? 1.年轻女性更容易受孕。调查数字显示,女性的最佳孕龄是23岁到29岁之间,这期间生下的孩子,会更聪明,...
146
离婚协议超过三年有效吗 一、离婚协议超过三年有效吗 离婚协议超过三年是有效的。离婚协议的有效期通常没有明确规定超过三年的情况。离婚协议一般是在离婚时由夫妻双方协商达...
190
用芥末怎么调蘸料(芥末怎么调制蘸汁) 芥末鸡做法(附芥末蘸酱调制方法) 主料:当年散养小公鸡一只。 香料:红花椒30克、白芷15克。 配料:精盐适量、葱段100克、料酒100克、姜...
112
为什么都叫福原爱为瓷娃娃? 一个自诩为“又矮又胖”的日本姑娘,为什么会在中国人中间像“哆啦A梦”一样长时间聚拢人气?尽管成都的报纸正上纲上线的围剿“蓝胖子”,但福原爱...
187
水煮肉片怎么做 水煮肉片的家常做法 美味好吃的水煮肉片的制作方法非常简单。水煮肉片是一道自贡菜,口感鲜辣美味,吃起来异常的鲜爽,想要制作出美味的水煮肉片,最关键的步...
190
女友的冷淡让我感到不安 作为男性,我们总是期待自己的女友能够对自己充满热情和关爱,但是有时候女友的冷淡却让我们感到不安。 这种不安是正常的,但是我们需要从多个角度去...
199
仙客来的四季养护要点 仙客来的春季养护 在春季的时候,光照和温度都比较适宜,比较适合仙客来的生长。 一般在春季4月份的时候,开花就进入了末期,此时可以进行换盆,换盆的时...